搜索
Studio 5000 Logix Designer 联机帮助
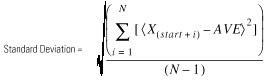
标准偏差
标准偏差的计算公式如下:
其中:
start = 数组操作数的 dimension-to-vary 下标
xi = 数组中的变量元素
N = 数组中指定元素的数目
AVE =
数组文件-其他指令
提供反馈
对本文档有问题或反馈吗? 请在
这里提交您的反馈
。
Normal