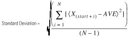
Standard Deviation
The standard deviation is calculated according to this formula:

Where:
- start = dimension-to-vary subscript of the array operand
- xi = variable element in the array
- N = number of specified elements in the array
- AVE =

Provide Feedback